2018年,药品审评中心对新注册分类的皮肤外用仿制药的技术要求进行了深入探讨,形成了初步的技术要求草案,于2018年7月11日至8月12日期间公开征求意见。
网址:http://www.cde.org.cn/news.do?method=viewInfoCommon&id=314615
同时发表了《皮肤局部外用仿制药质量等同评价的一般考虑》的文章。文章中指出针对物理和结构特性的比对应包括以下检查项目:
流变学性质的考察,可采用适合于检测具有非牛顿力学行为特征的半固体剂型的流变仪来表征,推荐的评价方式有:
( i) 对剪切应力( 或黏度) 和剪切速率的表征,至少包括高中低3 个剪切速率下的黏度检测数据,且应包括能覆盖高点和低点检测平台值的剪切速率范围的完整流变曲线;
( ii) 如果检测样品表现出塑性流变行为特征,应提供屈服应力值( Yield stress values) 的检测数据;
( iii) 线性粘弹性响应( 储存损耗模量与频率的关系) 的检测。
针对乳膏剂、乳剂产品,需要测试的流变基本内容有:流动曲线、屈服应力、线性黏弹性等。近年来,膏剂类客户购买流变仪多为符合此意见内容。
以下内容为根据此要求测试的结果。
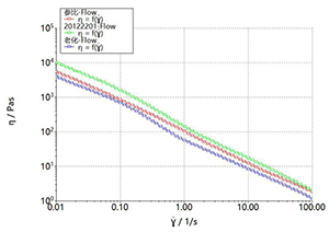
样品黏度曲线: :0.01-100 s -1 @25℃
样品为典型的剪切变稀流体,黏度值随剪切速率的升高不断降低。表明产品在储存放置时,黏度较高,利于稳定存放,外观也较黏稠;涂抹(剪切)时,黏度降低,利于产品涂抹均匀。
黏度大小:20122201>参比>老化
参比样品黏度曲线重复验证: :0.01-100 s -1 @25℃

数据重复性良好